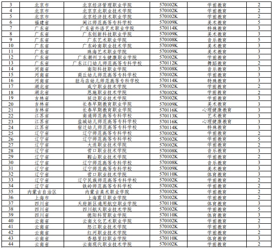
近日,教育部公布2025年高等职业教育专科专业设置备案和审批结果,同意设置国家控制专业点4个,不同意设置专业点68个。审批同意设置的国家控制布点专业将导入全国职业院校专业设置管理与公共信息服务平台,自2025年起可以招生。
经省级教育行政部门备案并在教育部汇总的2025年拟招生专业点共67898个。专业设置备案和审批结果已与全国普通高校招生来源计划网上管理系统相衔接,各地不得将未经备案或审批的专业点添加到招生来源计划管理系统并安排招生。


转自|教育部网站
点击右上角
微信好友
朋友圈

点击浏览器下方“
”分享微信好友Safari浏览器请点击“
”按钮

点击右上角
QQ

点击浏览器下方“
”分享QQ好友Safari浏览器请点击“
”按钮
