毕业季临近
一则特别的词条
#南大毕业生论文致谢第一句很特殊#
迅速登上热搜
引来网友的关注和讨论


5月19日
南京大学某教授
在社交媒体
晒出学生的论文致谢

这位同学首先
感谢的是党和国家
她来自西部欠发达地区
受益于国家专项计划
得以走出山区进入南大
接受最好的教育

该视频下
很多网友留言
他们也因三项计划上了大学
“也得感谢你自己没有放弃”
“感谢党和国家
让我有机会从山区小县走出去”



国家专项计划、高校专项计划、地方专项计划
并称高考三大计划
旨在促进教育公平
让更多的学生有机会走出大山
这些计划的实施
不仅改变了
无数学生的命运
更让我们看到了
国家对于教育公平的重视和努力

在毕业之际
许多同学在致谢中饱含情感
表达了自己的真挚谢意
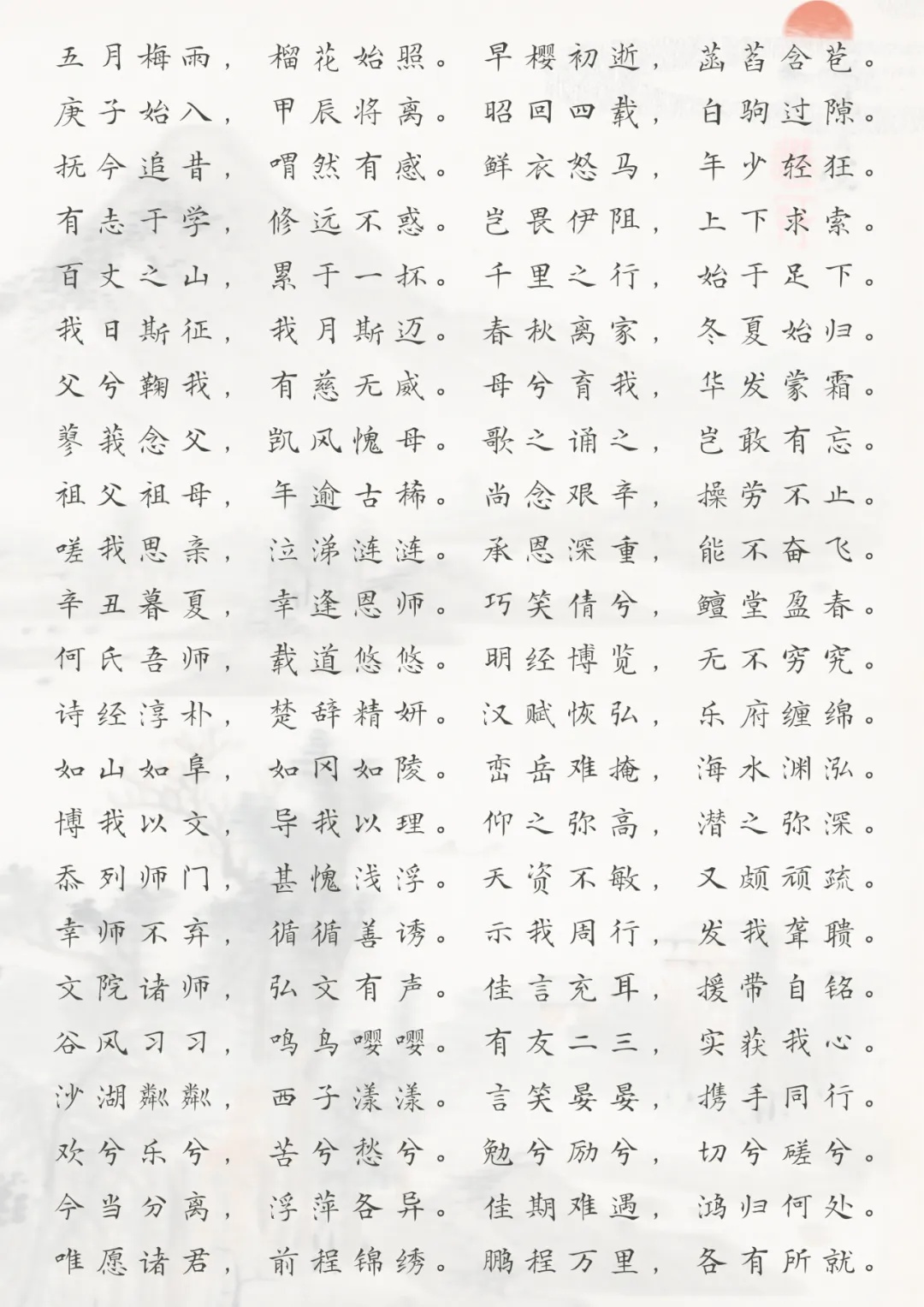
这是一篇“诗经体致谢”
毕业答辩之际
湖北大学文学院
汉语言文学专业
2024届毕业生严鋆
写下一篇诗经体致谢
经其导师分享后
在社交媒体迅速走红!
致谢全文共368字
四字一句读
一笔一深情
文辞畅达,布局匀称

从“鲜衣怒马,年少轻狂”
到“岂畏伊阻,上下求索”
对于毕业的同窗与好友
严鋆祝福道
“唯愿诸君,前程锦绣
鹏程万里,各有所就”
致谢亲人
“他们是我们最坚实的后盾”
亲人的爱
是坚不可摧的堡垒
在无数个挑战和困难面前
他们的鼓励和支持
是我们继续前行的力量
是我们追求学术梦想中
最坚实的后盾



致谢师长
“如同一束光,照亮前方的道路”
导师如同一束
明亮的光芒
为我们照亮了前方
为我们指引正确的方向
在学术探索的旅途中
导师的智慧和经验永远是
我们最可靠的指南针


致谢朋友
“每一个难关都不再孤单”
那些与我
并肩作战的朋友们
每一个难关
都因你们的陪伴而不再孤单
我们共同经历的欢笑与泪水
成为了我人生中一段难忘的回忆


致谢自己
“所有经历,都是珍贵的礼物”
无论如何
要感谢
始终坚持
始终热烈
始终勇敢的自己
一路走来
煎熬过、崩溃过、迷茫过
但从未放弃的自己



有网友说:
“差点把自己写哭了
终不似少年游”
……

在此
我们衷心祝愿所有学子
未来可期,一路生花
你还记得
你的毕业致谢写了哪些内容吗?
综合整理自微信公众号“青春浙江”、“湖北大学”、“ 南师研究生”、“重庆大学研究生”、“山东师范大学”,视频号@中国青年报,网友评论,转载请注明来源。
点击右上角
微信好友
朋友圈

点击浏览器下方“
”分享微信好友Safari浏览器请点击“
”按钮

点击右上角
QQ

点击浏览器下方“
”分享QQ好友Safari浏览器请点击“
”按钮
