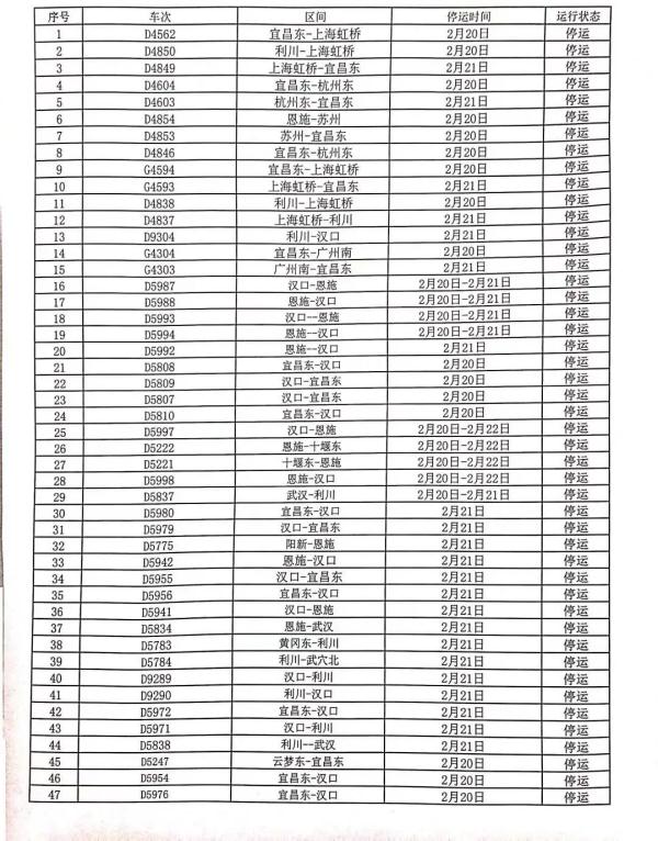
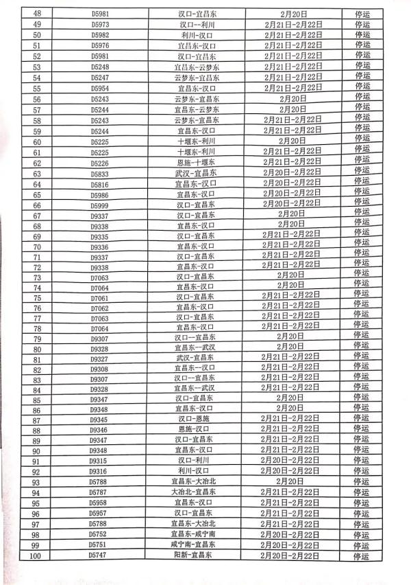
根据中央气象台发布的寒潮橙色预警,2月18日至24日,我国大部地区将出现大范围雨雪冰冻天气。记者从国铁成都局涪陵车务段获悉,该段管内20日将有30趟列车停运,主要涉及成都、贵阳、广州、重庆、汉口、武汉、南宁、巫山等方向。
其中
郑渝高铁停运23列
涉及
G3454/12/02/67
C6408/10/48/30/34/11/03/13/21/47
G3726/25、D1836/39
D1722/21、D8573
G3209/10次列车
渝利铁路停运7列
涉及车次为
D619、D2259
D361、D6126
D368、D2278、D634
另据#成铁微发布#消息,停运车次还有D2278次(重庆北-汉口)、G3459次(汉口-重庆北)、D618/9次(武汉-成都东,经停重庆北)等,同时,部分线路列车可能晚点运行。
最新通知:
还有这些列车临时停运
另据武汉铁路微博消息 :中国铁路武汉局集团有限公司2月20日计划停运部分列车。
铁路部门将根据天气变化动态调整旅客列车运行方案,以下车次可能继续发生变化。具体情况请旅客随时通过中国铁路12306网站或App、各火车站官方微博等渠道关注动态信息,妥善安排出行。

宜昌东站消息,为应对低温冻雨极端天气,2月20日-2月23日计划开行的137列车临时停运,购买停运列车车票旅客可在接到通知之时起至票面乘车日期后30日以内(含当日),在12306网站、手机12306APP、车站人工窗口、具有退票功能的自助机办理退票,不收退票费。



提醒旅客朋友们关注列车时刻变化,具体情况详见站车公告或拨打12306铁路客服中心电话咨询。
山东:龙口港进出港船舶全面停航
受寒潮影响,2月19日起,山东龙口市遭遇雨雪和大风降温天气,海面最大风力7~8级,阵风9~10级。受此影响,龙口港所辖海域所有进出港船舶全面停航,海上货运和生产作业受到影响。
面对船舶和人员滞留情况,当地边检部门启动恶劣天气应对预案,组织警力实施24小时不间断监控巡视,掌握在港船舶安全靠泊情况,争取在天气状况缓解后第一时间恢复通航。
综合:华龙网、中国新闻网
点击右上角
微信好友
朋友圈

点击浏览器下方“
”分享微信好友Safari浏览器请点击“
”按钮

点击右上角
QQ

点击浏览器下方“
”分享QQ好友Safari浏览器请点击“
”按钮
