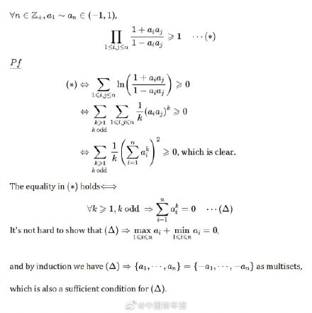
近日,北京大学北京国际数学研究中心推出的一道数学题,获得了数学爱好者的广泛关注。截至目前,已有近百位读者提交了解答。出题人韦东奕从中挑选了三份作为“较好的解答举例”。据韦东奕介绍,本题的解答线索只有一个,因此他挑选出来的三份解答相似度高,均可以作为标准答案来使用。特别是其中有一位初中二年级的同学,给出了简洁、完备的答案,令人欣喜。(人民网)







点击右上角
微信好友
朋友圈

点击浏览器下方“
”分享微信好友Safari浏览器请点击“
”按钮

点击右上角
QQ

点击浏览器下方“
”分享QQ好友Safari浏览器请点击“
”按钮
