序幕:光之百态——成就奥特曼的“百”种方式
“你可曾想过,奥特曼身上那股光,不只是英雄的象征,更是一种能量的化身?如果普通人也能掌握这道光,会变成怎样的奥特曼?”
想象这样一个场景:
你站在黑暗中,胸口闪过一道金色的光柱,身体被一阵温暖环绕——这不仅仅是剧中的场景,而是 光 在你身上化作力量的瞬间。
奥特曼的光来自哪里?我们能否在现实中,以不同的方式“召唤”这种光?
从燃烧的火焰到深海的萤火虫,从激光剑到细胞荧光——这些看似毫不相干的发光现象,究竟有何共同秘密?
以下内容,就是带你成为奥特曼的“百”种方式——
第一章:最简单的方式——热
最早的人类认识到火可以照亮夜晚,那是光的热辐射在起作用。只要把一个东西烧得足够热,它就会发光。这叫黑体辐射,是所有温度高于绝对零度的物体都会产生的现象。
太阳其实是个超大的“热球”,它以约5500摄氏度的表面温度辐射出可见光和大量不可见光。
白炽灯则是用电流加热钨丝,让它烧得发白而发光,效率低但原理简单。
第二章:不那么热,但也能发光——电和气体的魔法
霓虹灯、荧光灯、极光,都靠气体放电发光:高压电场中,电子像子弹一样撞击稀薄气体原子,把它们激发到高能态,然后原子“冷静”下来时释放光子,形成五彩光芒。
光子能量关系
原子内部电子从高能级回落到低能级时,释放出的光子能量正是两者能级差。不同原子或分子的能级差决定了所发光的颜色,为光谱分析提供了定量工具。
帕邢定律 (Paschen 定律)
它给出了在气压 p 与电极间距 d 已知时,实现气体击穿放电所需的最小电压 V。这可以帮助工程师设计高压放电设备(如荧光灯管),优化管内压力和长度以实现最低点火电压。
「热辐射虽简单,却耗能惊人;气体放电省热却又需高压。有没有既“省心”又高效的发光方法?让我们走进LED的世界。」
第三章:发光不靠温度——固体与化学的新玩法
热不再是发光的唯一方式。20世纪以来,人类学会用更聪明的方法制造光:
1. LED——用半导体制造光
LED灯泡比白炽灯高效得多。它的工作原理是电致发光:当电流通过半导体时,电子和空穴在晶体结构中相遇、结合,并以光的形式释放能量。
每种材料发出的光颜色不同,这取决于能带之间的能量差。
2. OLED 和显示技术
现代手机屏幕里,有机材料被电激发发光,我们叫它有机电致发光(OLED)。这类发光可以做得很薄很柔软,是显示技术的革命。
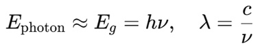
能带理论与光子能量
其中 Eg 是半导体带隙。材料带隙大,发出高能短波光(蓝、紫);带隙小,发出长波光(红、红外)。通过选用不同合金成分(如InGaN、AlGaAs)可以精准设计LED发光颜色。
「LED以固态材料“编码”了光的颜色,那自然界下的“自发”发光如何实现?下一节,让我们用光来激发光:光致发光的世界。」
第四章:光不需要电,也不需要热——光、化学和生物的合作
1. 让光激发光
光致发光好比“灯下看粉笔字”:
紫外线一照射到荧光粉上,它立刻发出明亮的可见光。当光照射一些原子时,光的能量使原子核周围的一些电子从基态跃迁到第一激发态单线态或第二激发态单线态。第一激发态单线态或第二激发态单线态不稳定,当电子恢复到基态时,能量会以光的形式释放出来,从而产生荧光。
常见的例子是物质吸收紫外光,发出可见光波段的荧光。我们生活中的荧光灯就是基于这个原理。涂在灯管上的荧光粉吸收灯管内汞蒸气发出的紫外光,然后荧光粉发出可见光,人眼可见。
磷光是一种缓慢发光现象。当某常温物质被一定波长的入射光(通常为紫外线或X射线)照射时,吸收光能进入激发态(通常自旋重数与基态不同),然后缓慢去激发并发出比入射光波长更长的出射光(通常波长在可见光波段)。磷光的去激发过程被量子力学的跃迁选择规则所禁止,所以这个过程非常缓慢。
所谓“黑暗中发光”的材料通常是磷光材料,比如夜明珠。
2. 化学发光:无电也无热,只要反应
在犯罪现场,你可能听说过鲁米诺检测血迹,那就是一种化学发光。主要涉及两系列反应:
其一,过氧化氢在血红蛋白中的铁元素的催化下,分解生成氧气;
其二,鲁米诺与碱性溶液中的氢氧根离子反应生成双负离子,后被氧气氧化生成不稳定的过氧化物,在分解出氮气后生成激发态的3-氨基邻苯二甲酸,激发态至基态转化中,释放的能量以光子的形式存在,波长位于可见光的蓝光部分。
图源:https://b23.tv/Mllo4y8
3. 生物发光:自然界的点灯艺术家
在黑夜里,萤火虫微微闪烁,深海鱼幽蓝发光,这些生物都有一套“化学发光 + 酶催化”的“自带电源”,无需电网,只要体内有荧光素和氧气,就能点亮夜空。它们就是地球上真正会自己“点灯”的生物。
第五章:当光子碰到量子——高能与神奇的发光方式
进入高能物理与量子物理领域,我们发现更酷的光源:
1. 激光(Laser)
利用受激辐射原理制造出的相干光束,是现代科技的核心之一:
从激光笔到激光手术刀。它的发光“整齐划一”,不像太阳光那样杂乱,是光子们“排好队一起发光”的代表。
为什么激光要“整齐”?粒子数反转的秘密
激光的第一要诀是粒子数反转(population inversion)。
普通光源里,高能态粒子比低能态少,光子自发发射后,很快被更多未激发粒子吸收。要让“受激发射”占上风,需要:
高能级上的粒子数N2大于低能级上的粒子数N1。
问题在于:自发热平衡时,N1 总大于 N2。
于是我们需要用泵浦(电光或化学)源源不断把粒子送到 N2,直到高能态“坐满人”——此时入射光子就能一路“喊话”同频发射新光子,光强如同滚雪球。
三种跃迁,一个增益公式:爱因斯坦系数
爱因斯坦提出三种关键速率:
B12ρ让粒子上楼(吸收光子)。
A21让粒子自然下楼(自发发射光子)。
B21ρ让粒子应邀下,甩出“同款”光子(受激发射)。
只有当 R受激>R吸收时,光在增益介质中才会被放大。它告诉我们:光的强度不仅靠泵浦分布,更靠谐振腔中留下的光子“二次邀请”新光子。
激光阈值:何时开始“放大”
谐振腔内回路增益必须克服损耗,才能自发振荡:
Γ:光模式与增益区的重合度(想象“光的跑道”要刚好压在增益区上)
gmax:最大增益系数,与B21和粒子反转幅度 N2−N1 成正比
α:腔内一圈的总损耗(镜面反射损耗、材料吸收等)
设计激光器时,通过提高泵浦功率(提升 N2)、优化镜面反射率(降低 α)或改进谐振腔结构(增大 Γ),就能让激光“更容易点亮、更稳定输出”。
2. 切伦科夫辐射
切伦科夫辐射(Cherenkov radiation)是介质中运动的电荷速度超过该介质中光速时发出的一种以短波长为主的电磁辐射,其特征是蓝色辉光。
反应堆池里的蓝光、粒子探测器里的光电倍增管,都是基于这一现象。
为什么“跑得快”也会发光?
在真空中,光速是极限;但在水或玻璃里,光被材料“拖慢”到 𝑐/𝑛;如果带电粒子的速度𝑣超过了这个“慢光速”,它会激起周围介质,像船在水面上激起波浪那样,形成光学“音爆”。
𝑐/𝑛 是光在介质中的速度,如果粒子跑得更快,就会不断“撞”到极化的分子,让它们以光子的形式“腾空”回来。
这个阈值告诉我们:只有粒子能量足够高,才能产生切伦科夫光,用来探测高能粒子。
光锥的形状:发射角度揭秘
当“光波”从粒子身后甩出,它并非向四面,而是集中在一个角度 𝜃上,关系式是:
通过测量切伦科夫光锥的角度,探测器能反推出粒子的速度。这在大型粒子实验和宇宙射线探测中至关重要。
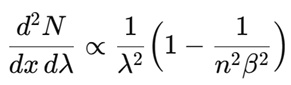
强度分布:Frank–Tamm 公式的“小魔法”
你可能想知道:不同颜色的切伦科夫光,哪个更亮?答案藏在:
切伦科夫光谱在短波长(蓝紫)区域更强,因为1/λ2增大;只有当nβ>1时,括号内才为正,才有光子产生。
这解释了为什么我们看到的切伦科夫光是蔚蓝的。
3. 同步辐射光源
同步辐射光是带电粒子的运动速度接近光速(v≈c)在电磁场中偏转时,沿运动的切线方向发出的一种电磁辐射。
同步辐射不仅亮度惊人,还极度准直:光束宽度只有微米级,便于聚焦与显微成像。在材料科学里,研究者用它看纳米颗粒的内部缺陷;在生命科学里,用它瞬时拍摄蛋白折叠、化学反应的超快过程。
第六章:其实很多光是“借来的”——反射、散射与折射
有时候,光不是被“创造”出来的,而是被“借”来的:
月亮只是“借”了太阳光;彩虹是阳光穿过雨滴后折射、反射和色散的结果。日常镜面、透镜、光纤工作,都离不开光的折射与反射规律。
这些不创造光子,但它们让光改变路径,让我们“看见”了它们的存在。
谢幕:光的“终极本质”——自发跃迁与虚空的波动
“如果宇宙中什么都没有,那光还会产生吗?”
这个问题听起来像是哲学,但它其实是通往物理世界最深邃的角落。在这一章,我们将走进光的“出生地”,探索它从哪里来、又为何能从虚无中诞生,成为整个宇宙交流的语言。
1. 自发辐射:光,是如何“自己”冒出来的?
回忆一下:我们说过原子中的电子,如果吸收了外来的能量,就可以从低能级“跳”到高能级。但这个激发态不能永远维持——电子会“掉下来”,释放出一份能量。而这份能量,就是一个光子。
这就是所谓的 自发辐射(Spontaneous Emission)。
但问题是:谁让电子突然“跳下来”的?
这就是最神奇的部分:即使在完全空无一物的空间中,电子也会掉下来,并发出光子。
——这意味着:哪怕没有人“推”,光也会自己诞生。
为什么?
因为“空无一物”并不是真的“空无一物”。
2. 真空不是空的:虚空的量子波动
我们以为的真空,是一个连空气分子都没有的地方。但在量子力学中,真空就像一锅不停沸腾的汤——
里面充满了虚粒子对的涨落、涨起、湮灭,尽管它们不能长久存在,却能瞬间影响电子轨道、触发跃迁、制造光子。
这种永不停歇的“底噪”,就叫做:
➤ 真空涨落(Vacuum Fluctuation)
是它,让原子中“准备跳跃”的电子突然被推了一把,于是,一束光,就从什么都没有的地方诞生了。
这不是假说,而是可观测的现象:
原子钟的精度受真空涨落影响;
量子计算中的“相干时间”也要考虑这些扰动;
甚至,黑洞信息悖论,也绕不开这锅“虚空汤”。
3. 光子,本质是一种场的激发
回到我们一开始的问题:光到底是什么?
经典电磁学说,光是电场与磁场的交错波动。
但量子场论(QFT)说,光子是电磁场的最小激发单位。也就是说:
只要电磁场存在,只要能级差存在,哪怕整个宇宙没有物质,光依然可以从“虚空”里闪现。
这,就是场的本体论版本的“光”。
光,是信息,也是宇宙自己的呼吸
当我们一路探寻,从热辐射到量子跃迁;从气体放电到生物发光;从激光的相干部队到切伦科夫的蓝光涟漪;再回到镜面与折射的日常映像,心中会渐渐明白:
光不是我们做出来的东西,它是宇宙自发说话的方式。
所以,下一次当你仰望星空时,不妨这样想:
你看到的每一束星光,都是一次宇宙与自身对话的回声,它从虚无中诞生,跨越时空,最终落在你的视网膜上——告诉你,它曾经存在过。
所以——
下次当你打开手机屏幕、看一颗星、点亮夜灯……
请想一想:
你是否也在成为某种意义上的“奥特曼”?
参考文献:
[1] https://zh.wikipedia.org/wiki
[2] 魏子博.压电半导体中多场耦合波传播及PN结效应[D].北京科技大学,2025.
[3] https://www.csldhg.com/tech/301.html
[4] Tryon E P. Is the universe a vacuum fluctuation?[J]. Nature, 1973, 246(5433): 396-397.
[5] Alaeian H. An introduction to cherenkov radiation[J]. Recuperado el, 2014, 26.
转自:中科院物理所
来源: 蝌蚪五线谱
















