湖北宜昌、荆州、随州
三市教育局发布最新通知
推迟开学时间
宜昌
据“宜昌发布”微信公众号19日消息,因雨雪冰冻天气影响,为确保师生安全,宜昌市各级各类学校(已开学的高中学校除外)开学时间推迟到2月26日(正月十七)。
部分高寒地区的学校可根据本地区实际,科学研判开学工作,如不具备开学条件,可再推迟开学时间并通知到每一名师生,同时报县(市)教育局备案。
荆州
20日,荆州市教育局微信公众号发布“关于进一步明确全市中小学幼儿园开学时间的通知”,内容如下:
各县(市、区)教育局、荆州经开区公共服务局、纪南文旅区社会事务局,市直各高中学校、幼儿园:
根据荆州最新气象服务专报,荆州市近期将有低温雨雪冰冻天气,致灾风险较高。为确保学生安全返校,决定全市中小学幼儿园(除高三年级外)正式开学时间为2月26日,有特殊原因还需延迟开学的中小学幼儿园,提前向所属教育主管部门报备。
随州
“随州教育”微信公众号发布“随州市教育局关于春季开学的工作提示”,内容如下:
各县(市、区)教育局、随州高新区中心学校、市直各高中:
根据湖北省气象局最新消息,受强冷空气影响,2月19日晚至24日,全省将出现寒潮大风和大范围低温雨雪冰冻天气,最高气温将从18~27℃降至-3~1℃,最低气温从7~15℃降至-5~-1℃、山区在-10℃左右,气温持续偏低至2月26日,阵风7~10级。其中2月20日至2月24日湖北自北向南将先后由雨转为冻雨、冰粒、纯雪;大部分地区有冻雨,冻雨量在10~30毫米,其中江汉平原南部和鄂东南等地冻雨量在30~50毫米。
各地各校要扎实做好应对低温、大风、雨雪冰冻等极端天气的各项准备,要科学研判学校开学和师生返校工作,精准掌握师生返校情况,对于因天气原因返校困难的师生,可按规定办理请假手续。随州市义务教育阶段学校春季开学时间调整至2月26日(正月十七);各地高中阶段学校若有尚未开学的,统一调整至2月26号开学,已开学的要注意学生上下学路上安全;幼儿园开学,各地科学研判后自行决定开学时间。
此前,武汉多所学校通知延迟开学
2月18日,武汉市多所中小学校发布通知:除高三年级外,春季学期返校时间延迟到2月26日。【详细】
根据武汉市2023—2024学年度春季校历,武汉市小学、初中原定于2月21日正式开学,7月5日放暑假,幼儿园参照中小学时间进行安排。
但在18日,武汉市气象台发布寒潮橙色预警,18日夜间至24日,受地面强冷空气影响,武汉将出现寒潮大风和低温雨雪冰冻天气。18日夜间至21日,武汉大部分地区平均气温下降18℃~20℃,22日早晨最低气温下降至-3℃~-2℃。
有市民在武汉城市留言板上建议:“2月21日中小学开学在即,但雨雪天气也随之而来……希望有关部门依据天气适当调整返校时间。”
部分网友留言
为学生安全考虑,武汉市多所中小学已发布通知称正式返校时间延迟到2月26日(除高三年级外)。据了解,目前部分学校已通过班主任将延迟返校的消息告知了学生及家长。
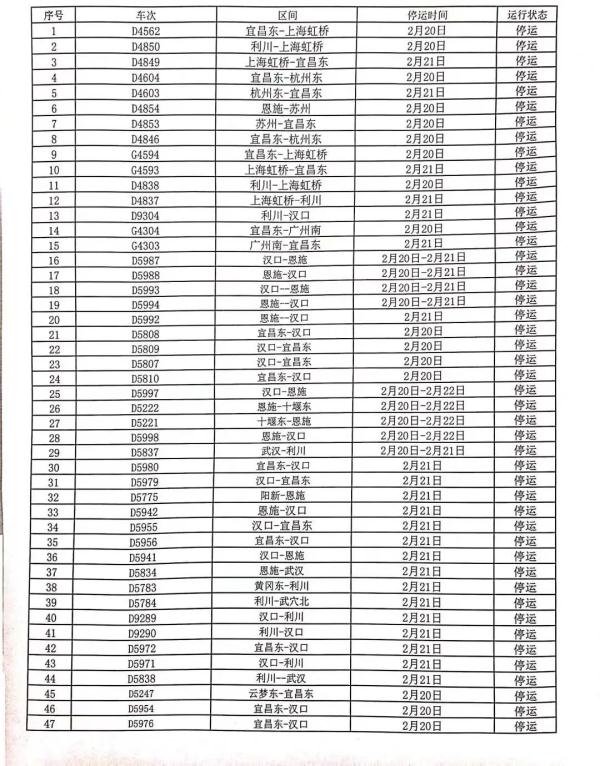
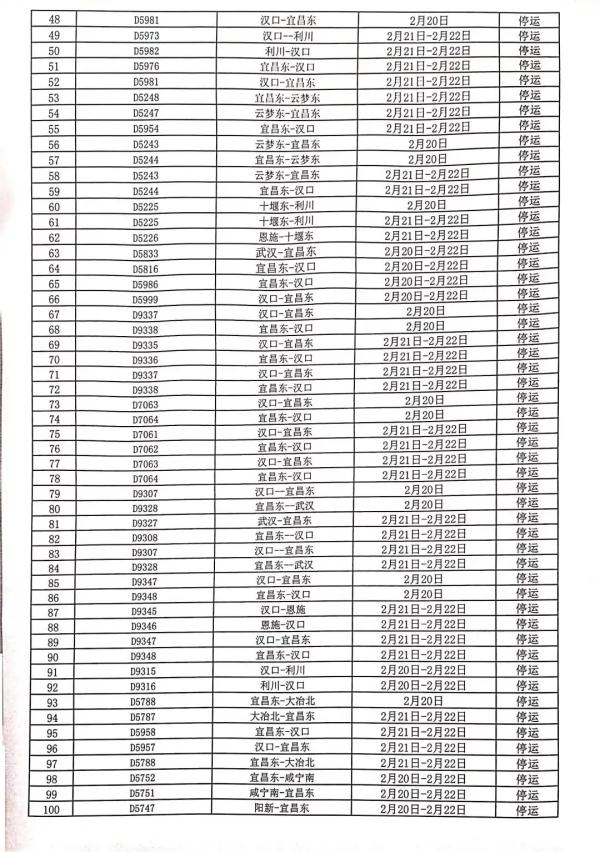
中国铁路武汉局:部分列车停运
据武汉铁路微博20日消息 :根据中央气象台发布的寒潮橙色预警,2月18日至24日,我国大部地区将出现大范围雨雪冰冻天气。为确保旅客出行安全,中国铁路武汉局集团有限公司2月21日计划停运部分列车。因列车停运导致旅客退票时,旅客可自列车停运信息公布时起至车票乘车日期后30日以内办理退票手续,不收退票费。
铁路部门将根据天气变化动态调整旅客列车运行方案,以上车次可能继续发生变化。具体情况请各位旅客随时通过中国铁路12306网站或App、各火车站官方微博等渠道关注动态信息,并通过12306购买车票或办理退票、改签,避免造成车站拥堵,确保安全有序出行。
另据三峡日报消息,记者从宜昌东站获悉,为应对低温冻雨极端天气,2月20日-2月23日计划开行的137列车临时停运,购买停运列车车票旅客可在接到通知之时起至票面乘车日期后30日以内(含当日),在12306网站、手机12306APP、车站人工窗口、具有退票功能的自助机办理退票,不收退票费。
综合自“湖北发布”微信公众号、“宜昌发布”微信公众号、荆州市教育局微信公众号、“随州教育”微信公众号、@武汉铁路、三峡日报、中新社此前报道等
来源: 中国新闻社









