近日,北京大学北京国际数学研究中心
推出的一道数学题
出题的是北京大学数学科学学院研究员
第49届、第50届
国际数学奥林匹克竞赛
满分金牌得主韦东奕
有一位来自广东深圳的
初中二年级的同学给出了
简洁、完备的答案
令人欣喜!
一起来看看“韦神”出的这道题吧!
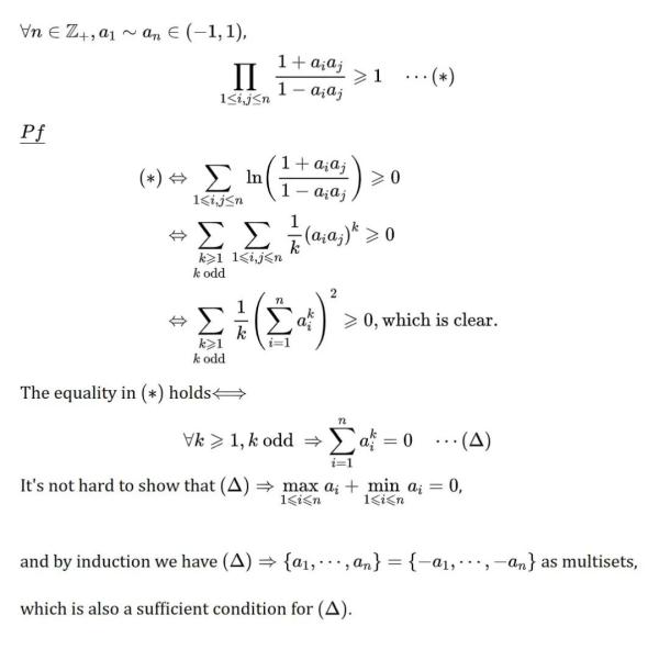
题目
截至目前,已有近百位读者提交了解答。出题人韦东奕从中挑选了三份作为“较好的解答举例”。据韦东奕介绍,本题的解答线索只有一个,因此他挑选出来的三份解答相似度高,均可以作为标准答案来使用。
韦东奕表示:“其中有一位初中二年级的同学,给出了简洁、完备的答案,令人欣喜!”
据深圳中学消息,这位同学便是来自该校的王羿骁。
王羿骁同学。图/深圳中学
王羿骁同学的答案。图/深圳中学
深圳中学的阮中楠老师表示:“王羿骁同学观察到对题目的连乘式取对数后用Taylor级数展开,可以消去级数的偶次项,并通过交换求和顺序将奇次项配成完全平方和,从而证明其非负,最后对于等号成立条件的讨论简洁而严谨,展现了他敏锐的代数直观和熟练的代数技巧。”
另外两个解答案例
解答1 答题人来自国内某大学
解答2 答题人来自海外某大学
GPT-4挑战失败
最近火爆全球的GPT-4,能不能解答韦东奕出的题目呢?
下面是北京国际数学研究中心老师们测试的结果。
图片来自于董彬老师的报告
在解答有挑战的数学问题上,人类大脑和AI表现有何差异?
中国科学院院士、北京大学数学科学学院教授、北京国际数学研究中心主任田刚说:目前看来,在“解答有挑战的数学问题”这个任务上,人类大脑具有优势。但是随着AI不断升级更新,这种优势能在多大程度上保持呢?年轻一代将肩负起探寻这一问题答案的重任。
网友评论
综合:北京大学、青春北京、深圳中学
来源: 南方新闻网












